Что изучает алгебра. 7-й класс
Скачать презентацию (2.17 МБ)
Цель урока:
- Формирование целостного представления об изучаемом предмете
- Закрепление умений и навыков при решении уравнений, построении графиков, упрощении выражений.
- Расширение кругозора учащихся.
Задачи:
- Показать на каких основных элементах строится предмет алгебра.
- Познакомить учащихся с создателями этого предмета.
- Проверить теоретические знания.
- Повторить основные положения курса алгебры 7 класса в рамках подготовки учащихся к Единому Муниципальному Тесту.
- Развивать интерес к предмету.
Ход урока
Мы с вами уже полугодие изучаем новый предмет – алгебра, но я не случайно не отвечала вам подробно на вопрос – Что же такое алгебра? Что она изучает? А делала я это потому, что вы были еще не готовы, не хватало ваших знаний. Сегодня этот момент наступил. На уроке мы постараемся разобраться что изучает алгебра, что лежит в ее основе, заглянем в историю создания предмета.
Откройте тетради, запишите число и тему:
Что изучает алгебра? (слайд №1)
С чего начнем? Наверное, с названия (слайд №2)
По многим названиям предметов сразу становиться ясно, чем занимается данная наука.
| Геометрия – гео-земля метро-мерять Биология – био– жизнь логос-учение География – гео-земля графо – пишу |
(Слайд №3)
А слово “Алгебра” или “Аль-джебр” в переводе с арабского означает
“Восстановление” “Восполнение”
Стало понятно чем занимается алгебра?
Наверное, наоборот, вводит в замешательство.
Вот так и в древней Испании, которая долгое время была под арабским владычеством и, слыша слово “алгебраист” решили, что это слово относится к костоправам или по нашему к хирургам и это недоразумение вошло в книгу
Сервантеса “Дон Кихот” там есть такой фрагмент, когда главный герой Дон Кихот был ранен в одном из поединков, то он просит своего верного друга Санчо Панса привести к нему срочно алгебриста.
Кто-то из вас уже читал или смотрел фильм по этой книге?
Т.е. перевод названия нашего предмета ничего не прояснил.
Что ж, пойдем другим путем.
Посмотрим, что же лежит в основе алгебры? Или другими словами, на чем стоит этот предмет? …
А стоит он на четырех больших китах. (слайд №4)
Давайте познакомимся с этими китами поближе. (Слайд №5)
![]()
![]()
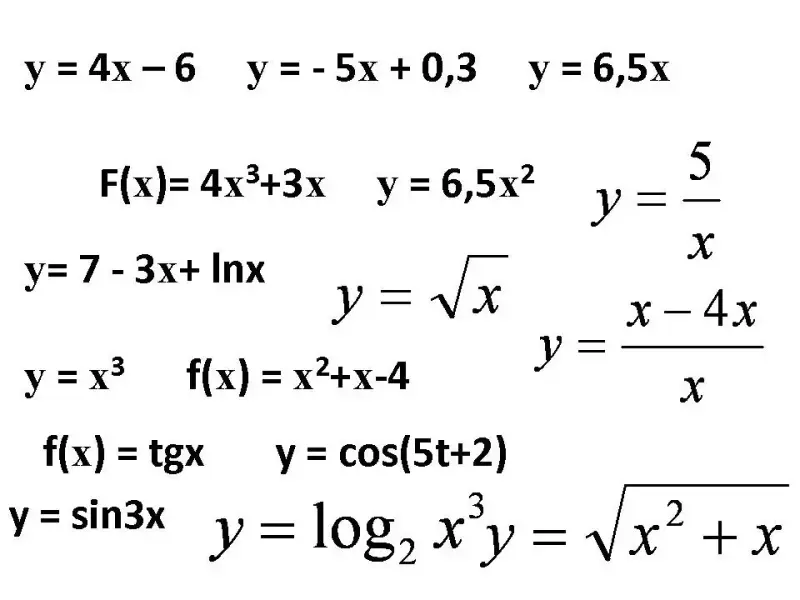
у= 4х – 6 у = – 5х + 0,3 у = 6,5х
![]()
![]()
F(х)= 4х3+3х у = 6,5х2
у= 7 – 3х+ ln у = х3 f(х) = х2+х-4
f(х) = tgx y = cos(5t+2)
![]()
y = sin3x![]()
На этом слайде вы видите надписи. Что это? (Функции)
Запишите в тетрадь. Это кит-функция. (Слайд №6)
Давайте вспомним
– Что такое функция?
– Какими способами можно задать функцию?
– С какими функциями мы уже знакомы?
Это огромный раздел нашего предмета Алгебры.
А сейчас задание по вариантам от первого кита-функции (слайд №7)
| Построить графики следующих функций на одних осях координат: | |
| 1 вариант;
у= -х + 4; у=3х; |
2 вариант
у= 0,5х +1 у= 0,5х – 1 |
Самостоятельная работа на 5 минут в тетради. Затем проверить (слайд №8) и (слайд №9) причем, ответы с ошибками. Должны заметить, что в 1 варианте не подписаны оси координат, а во 2 вар. не подписаны графики и ошибки исправить по щелчку мышкой
Мы познакомились с китом – Функция (слайд №10)
А что вы видите на спине второго кита? (слайд №11)
3х = 9; 5(х+10) = 2х-5; а – 2,4 = 0,2а-5
(х+3)(5-4х)-2х(7-4х) = 0
3,2(х+2)-7=4
![]()
Sin22x – 3cos2x = 0
![]()
![]()
log3х + log3(x+1)=2
![]()
![]()
2x+4x= 0,5
Конечно, это уравнения. Только некоторые из них нам хорошо знакомы, а с остальными нам предстоит знакомство на протяжении учебы. Запишите в тетрадь кит-уравнение. (слайд №12)
– Что такое уравнение?
– Что значит решить уравнение?
Оказывается, благодаря решению уравнений, мы получили название нашего предмета – алгебра.
(слайд №13) Впервые это слово прозвучало в книге ученого 1 века нашей эры Мухаммед Бен Мусса Аль-Хорезми (787 – около 850)

Откройте ваши учебники на стр. 16.
(Алгебра 7 класс под редакцией С.А. Теляковского)
Название у нее было очень странное (слайд №14)
“Краткая книга об исчислении аль-джабры и аль-мукабалы”
В ней рассказывалось о том, как решаются уравнения. Причем этими правилами мы пользуемся и теперь
5,2х-4,3=7х+4,7
5,2х-7х=4,7+4,3
Правило аль-джабры
5,2х-7х=4,7+4,3
-1,8х=9
Правило аль-мукабалы
Слово “аль-джабра” видимо понравилось ученым и оно дало название нашему предмету
Задание от этого кита (слайд №15)
(Самостоятельно 5 минут. Проверить ответы по щелчку)
|
РЕШИТЕ УРАВНЕНИЯ: |
|
| 1 вариант;
1) 2у(3у – 7) – (7 – 3у) = 0; 2) |
2 вариант
1) 7х(8х – 3) – (3 – 8х) = 0 2) |
Ответы
![]()
![]()
у=8 х=16
(слайд №16) Посмотрите на третьего кита.
Что вы видите на его спине (слайд №17)
![]()
![]()
![]()
Это….(тождества).
Значит третий кит называется Тождество. Запишите в тетрадь.
– А что такое тождество?
Кит Тождество приготовил работу на желтым карточках
|
Задание от кита “Тождество” Вариант1 Выполните тождественные преобразования и упростите выражение: 1) 3(6-5х)+17х-10 2) (а2-7)(а+2)-(2а-1)(а-14) |
Задание от кита “Тождество” Вариант2 Выполните тождественные преобразования и упростите выражение: 1) 14-8х+2(5х-3) 2) (1-2а)(14-а)+а(а2+51)-2(а2+21) |
|
Задание от кита “Тождество” Вариант3 Выполните тождественные преобразования и упростите выражение: 1) -4х-22+6(х+5) 2) (а2-2)(а+14)-2а(7а-12) |
Задание от кита “Тождество” Вариант4 Выполните тождественные преобразования и упростите выражение: 1) 3(5-6х)-7+20х 2)(а2+7)(а+2)-а(2а-15)-42 |
Самостоятельная работа на 3-5 минут , а ответы у всех вариантов одинаковые на(слайд №19)
Мы познакомились с тремя китами. (Слайд №20) С тремя основными разделами алгебры, а это самый старый и уважаемый. Без него не могут обходиться другие киты никак. Это кит – … (число) (слайд №21)
|
Задание от кита “ЧИСЛО” Вариант 1 Выполните действия в 2-х примерах:
|
Задание от кита “ЧИСЛО” Вариант 2 Выполните действия в 2-х примерах:
|
От него вам задание на оранжевой карточке (слайд №22), но коль это уважаемый кит и его решение не терпит суеты – выполните его дома, а завтра на уроке мы проверим, кроме этого (слайд №23) на домашнее задание пойдут следующие номера: №241, №366, №778.
А сейчас посчитайте сколько плюсов вы заработали
– Сколько плюсов-такая и оценка за работу на уроке. (слайд №24)
Подведение итогов. Выставление оценок за урок.
Для следующего урока. (Слайд №25)

