Методы решения показательных уравнений
Методы решения показательных уравнений
1. Простейшие показательные уравнения
| Тип уравнения | Вид уравнения | Метод решения | ||
| 1 | ||||
| 2 |
|
b = a
|
b b>0 |
b b |
f(x) = 1 |
f(x) = |
Решений нет | ||
Примеры.
Пример 1. Решите уравнение: 34x-5 = 3x+4 .
Решение.
34x-5 = 3x+4 <=> 4x
5 = x+4 <=> 3x=9<=> x = 3
.
Ответ:3
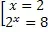
Пример 2. Решите уравнение: 2x-4 = 3 .
Решение.
2x-4 = 3 <=> x- 4 =
x =
+ 4 <=> x =
+
<=> x =
.
Ответ:
.
Пример 3. Решите уравнение:
-3x = -7 .
Решение.
-3x
= -7 , решений нет, так как
-3x > 0 для
x
R .
Ответ:
.
2. Методы преобразования показательных уравнений к простейшим.
A. Метод уравнивания оснований.
Примеры.
Пример 1. Решите уравнение: 27
-
= 0 .
Решение.
27
-
= 0 <=> 33
34x-9- (32)x+1
= 0 <=> 33+ (4x-9)- 32(x+1) = 0<=> 34x-6-32x+2
= 0 <=> 34x-6 = 32x+2<=> 4x-6=2x+2 <=> 2x =
8 <=> x=4.
Ответ: 4.
Пример 2. Решите уравнение:
.
Решение.
0
<=> (22)x
3x
5x
= 604x-15 <=> 4x
3x
5x
= 604x-15 <=> (4
x = 604x-15 <=> 60x=604x-15
<=> <=>x=4x-15 <=> 3x=15 <=> x=5.
Ответ: 5.
В. Уравнения, решаемые разложением на множители.
Примеры.
Пример 1. Решите уравнение: x
2x = 2
2x + 8x-16.
Решение.
x
2x = 2
2x + 8x-16 <=>
x
2x - 2
2x = 8
x-2) <=> 2x
(x-2) - 8
<=>
(x-2)
x
- 8) = 0 <=>
<=>
<=>
<=>
.
Ответ: ![]()
Пример 2 . Решите уравнение: ![]()
Решение.
52x - 7x - 52x
35 +7x
= 0 <=> (52x
- 7x)
(
(
Ответ: 0.
С. Уравнения, которые с помощью подстановки
f(x)
= t, t>0 преобразуются к квадратным уравнениям
(или к уравнениям более высоких степеней).
Пусть
, где А, В, С - некоторые числа. Сделаем
замену:
>0,
тогда A
2
+ B
+ C = 0
Решаем полученное уравнение, находим значения
t, учитываем условие t >0 , возвращаемся к
простейшему показательному уравнению
f(x) =
t, решаем его и записываем ответ.
Примеры.
Пример 1 . Решите уравнение: 22+x - 22-x = 5.
Решение.
22+x - 22-x = 5 <=> 22
2x -
= 15 <=> 4
(2x)2 - 4 = 15
x
Делаем замену t = 2x, t > 0. Получаем
уравнение 4
2 - 4 = 15t <=> 4t2 - 15t - 4=0
<=>
, t =
не
удовлетворяет условию t > 0.
Вернемся к переменной х:
2х = 4<=> 2x = 22 <=> x=2.
Ответ: 2
Пример 2. Решите уравнение: ![]()
Решение.
5![]()
Делаем замену:
, тогда
Получаем уравнение:
5
, t =
не
удовлетворяет условию t ![]()
Вернемся к переменной Х:![]()
Ответ: 2.
D. Уравнения, левая часть которых имеет вид A
nx + B
kx
bmx + С
bnx, где k, m
N, k + m = n
Для решения уравнения такого типа необходимо
обе части уравнения разделить либо на
nx,
либо на
nx
и получится уравнение типа С).
Примеры.
Пример 1. Решите уравнение: 2
22x - 5
x + 3
32x = 0.
Решение.
2
22x - 5
x + 3
32x = 0 <=> 2
2x - 5
x
3x + 3
32x = 0 <=> 2
-
+ 3 = 0 <=>
<=> 2
2x
- 5
x
+ 3 = 0
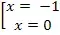
Пусть t =
x, t>0 , тогда 2
t- 5t + 3 = 0 <=>
, оба значения t удовлетворяют
условию t
Вернемся
к переменной х:

<=> Ответ: ![]()
Пример 2. Решите уравнение: 8x + 18x
- 2
27x
= 0 .
Решение.
8x + 18x - 2
27x = 0 <=>
+
- 2
= 0
<=> 23x + 2x
32x - 2
33x = 0<=>
<=>
+
- 2 = 0
<=>
+
- 2 = 0.
Пусть
= t, t>0 , тогда t3 + t - 2 = 0<=> (t3 - 1) + (t
-1 )= 0 <=> (t-1)
(t2 +t +1) + (t - 1) <=> (t - 1)
(t2 + t +2) = 0 <=>
<=> t -
1= 0 <=> t=1. (t>0)
Вернемся к переменной х:
= 1 <=>
=
x = 0 .
Ответ: 0.
К данному типу уравнений относятся уравнения ,
левая часть которых имеет вид
, где А, В, С -некоторые числа,
причем
.
Уравнения такого типа решаются с помощью подстановки :
=
t , тогда
=
.
Пример 3. Решите уравнение: ![]()
Решение.
![]()
Заметим, что произведение оснований степени равно единице:
(
.
Поэтому можно ввести новую переменную:
, причем
. Получим
уравнение:
t
,оба
корня удовлетворяют условию :
.
Вернемся к переменной х:
![]()
.
Ответ:
.
Е. Уравнения, имеющие вид A
am = B
bm.
Для решения необходимо обе части уравнения разделить либо на am, либо на bm. В результате получается простейшее уравнение.
Примеры.
Пример 1. Решите уравнение: 7х = 5х.
Решение.
7х = 5х <=>
= 1 <=>
=
<=> x = 0.
Ответ: 0.
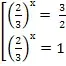
Пример 2. Решите уравнение:
.
Решение.
.![]()
Ответ: 2.
F. Метод, основанный на использовании свойства монотонности показательной функции .
Примеры.
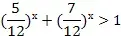
Пример 1. Решите уравнение:
.
Решение.
Заметим, что при х=1 уравнение обращается в тождество. Следовательно, х=1 - корень уравнения. Перепишем уравнение в виде
![]()
Так как при основании, меньшем единицы,
показательная функция убывает на R, то при х
левая
часть уравнения (*) больше единицы, то есть
![]()
Если
то
левая часть уравнения меньше единицы, то есть
![]()
Поэтому, других корней, кроме х=1, уравнение
не имеет.
Ответ: 1.
Пример 2. Решите уравнение:
.
Решение.
Это уравнение также обращается в тождество при х=1.
Перепишем уравнение в виде:
![]()
При основании, меньшем единицы, показательная функция убывает на R.
Поэтому при х
а при х
:
. Таким образом, других корней, кроме х=1 ,
уравнение
не имеет.
Ответ: 1.
G. Графический способ решения уравнений видаЧтобы графически решить уравнение такого
вида, необходимо построить графики функций y=
f(x) в одной
системе координат и найти (точно или приближенно)
абсциссы точек (если они есть) пересечения этих
графиков. Абсциссы этих точек - корни данного
уравнения (точность результатов определяем
только после подстановки в уравнение ).
Примеры.
Пример 1. Решите уравнение:
.
Решение.
1.Рассмотрим две функции: f(x) =
и g(x) = x+1.
2.Графиком функции f(x) =
является кривая,
расположенная в верхней полуплоскости, графиком
функции g(x) = x+1 является прямая.
3. Зададим таблицы значений этих функций:
х -1 0 1 2 3 f(x) = 1 2 4 х 0 3 g(x)= x+1 1 4

4. Из рисунка видно, что прямая и кривая
пересекаются в двух точках- в точке А и в точке В.
По графику определяем абсциссы этих точек:
. Значит,
уравнение имеет два корня: х=3 и х=
. Число х=3 - точный
корень заданного уравнения, так как при
подстановке в это уравнение получается верное
числовое равенство:
![]()
Ответ: 3;
.
Пример 2. Решите уравнение:
.
Решение.
1. Рассмотрим две функции f(x) =
и g(x) =
.Используем
свойства степени и преобразуем выражение
:
![]()
2. Функция f(x) =
- показательная по основанию
и ее
графиком является кривая, расположенная в
верхней полуплоскости.
Функция g(x) =
- прямая пропорциональность и ее график -
прямая, проходящая через точку
.
3. Зададим таблицы значений этих функций и затем построим их графики в одной системе координат.
х -3 -2 -1 0 1 2 f(x) = 8 4 2 1 х 1 4 g(x) = 2
4. Графики пересекаются в одной точке - в точке А, ее абсцисса равна единице.Значит, х=1 - корень заданного уравнения.

Примечание:
Если одна часть уравнения содержит убывающую
функцию f(x) , а другая часть -возрастающую
функцию g(x), и уравнение имеет корень х=
, то он
-единственный.
В примере 2. : f(x) =
убывающая на R функция, а g(x =
-
возрастающая на R функция, х=1- корень уравнения и
он единственный.
Ответ: 1.
Приложение к статье "Методы решения показательных уравнений"