Элементы экологии на уроке математики в 8-м классе при изучении темы: "Действия с квадратными корнями"
Экология - "сумма знаний, относящихся
к экономике природы." .
Э.Геккель (1866 г., немецкий биолог)
Цели:
- продемонстрировать возможность интегрирования математики с экологией;
- показать, как можно применить знания по теме "Квадратные корни" к решению экологических проблем.
Ход урока
Слово учителя. Каждый человек любящий свое дело, не требует дополнительных стимулов, чтобы восхищаться оригинальностью решения и его изяществом. Режут слух высказывания некоторых ребят, филологов, артистов, экологов, которые говорят: "Математика нам не нужна. Вот получу оценку в аттестат и забуду математику". Не тут-то было. Сразу хочется переубедить таких людей, "развернуть" их лицом к математике. Ведь интересен не предмет сам по себе, а исследования окружающего мира посредством этого предмета. Вот таким исследованием взаимоотношений живых организмов между собой и средой их обитания занимается наука экология. Экология - слово греческое, oikos - жилище, logos - учение.
Геккель, немецкий биолог, в 1866 году дал такое определение экологии: "Экология - "сумма знаний, относящихся экономике природы". Вчитайтесь внимательно, ребята, в это определение и вы увидите, что без математики здесь не обойтись. Какие математические понятия фигурируют в этом определении и что оно означает?
Учащиеся видят, что это слово - "сумма". Дают ему понятие.
Вот сегодня мы с вами как раз и увидим, как математика помогает людям решать экологические проблемы.
Далее идёт проверка домашнего задания (необходимо было дома решить уравнение и алгоритм его решения сочинить в стихотворной форме).
Вызывается 1 ученик (решить уравнение).

Стихотворная форма решения примерно может выглядеть так:
"Для решения уравнения,
без всякого сомнения,
не будем робки -
раскроем скобки.
Перед первыми скобками
подразумевается плюс.
Смелее, дружок,
вперёд, и не трусь!
Проблема проста, её разреши:
Элементы с их знаками перепиши.
А дальше пред скобками минус стоит.
"Будь осторожнее!" - нам говорит.
У элементов все знаки надо сменить -
противоположными должны они быть.
Это не трудно, ты должен понять,
Коль минус пред скобками - знак поменять.
Причём ошибок остерегайся,
каждый знак изменить постарайся.
Пока ученик решает, учитель читает всему классу украинскую народную сказку "Ветер, Солнце и Мороз". После прослушивания сказки учащиеся должны ответить на вопросы:
- Какие числа фигурируют в сказке?
- Какова мораль сказки? Кто главнее? Вывод.
Далее учитель раздаёт классу листочки с отпечатанными графиками структуры водопотребления в разных отраслях промышленности и обращается к классу с вопросами:
- Каково общее сходство этих графиков?
- График чего наиболее близок к прямой пропорциональной зависимости?
- Какой из графиков можно отнести к виду
.
Ребята совместно с учителем делают вывод: несмотря на способность речного стока к возобновлению и самоочищению, необходимо рационально использовать питьевую воду, что потребление её в различных отраслях промышленности и сельского хозяйства с каждым годом возрастает.
Далее справа учителем выписаны некоторые числа.
Учитель с классом проверяет решение уравнения ученика, задаёт ему вопросы типа:
Затем говорит, что со всеми числами, записанными справа, связаны некоторые интересные факты. |
|
Существует так называемая "Красная книга", куда помещены тысячи исчезающих видов растений и животных.
- В частности, о числе 2. Именно от стольких ударов тупится топор и отскакивает пуля после нанесения его на самую прочную древесину - берёзу Шмидта (берёза железная). Это очень стойкий строительный материал.
Именно столько см достигают плоды хлебного дерева.
м. Самые крупные листья пальмы рода Гафик (тропическая Африка). Их длина - х - является решением этого уравнения.
м. Самое толстое дерево - баобаб. Его обхват равен х - решению уравнения.- А знаете ли вы, что старейшее дерево планеты - сосна. Ей столько лет, чему равен х в ходе решения уравнения
. - И, наконец, самые глубокие корни у фикуса из Южной Африки. Их длина достигает
м.
А знаете ли вы, ребята, что кукушки и совы являются санитарами леса?
У кукушки необычный аппетит: за один час она сможет съесть количество гусениц, являющееся решением выражения.
Ученик вызывается учителем для вычисления
[100].
Если в лесу появится большое количество насекомых -вредителей, то кукушка расправляется с ними в течение [?] дней. Скольких - вы узнаете, вычислив выражение:
[8 дней].
Вот о таких санитарах леса надо заботиться, охранять их. Бывали случаи, когда всего несколько кукушек спасали большие леса от опасных вредителей.
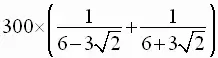
Следующая экологическая проблема - очищение воздуха. Если принять за единицу загрязнённости воздуха над океаном, то над сёлами она выше в 10 раз, над некоторыми городами - в 35 раз, а над промышленными объектами - во сколько раз мы узнаем, вычислив выражение:
[200 раз]
Другая экологическая проблема - переработка и хранение радиоактивных отходов.
За жизнь (70 лет) человек без риска может получить радиацию в 35 бэр. В зоне Чернобыльской АЭС можно было получить до 1 бэра за час. А без свинцового скафандра - за одну минуту. Итак, экологическая задача.
Недавно к нам обратилась за помощью областная экологическая организация. Экологи убедительно просили нас оказать воздействие в расследовании угрожающего своими последствиями поступка.
Недалеко от областного центра совершенно случайно было обнаружено место захоронения двухтонной партии ядерных отходов. (Впоследствии выяснилось, что в ходе захоронения оказались нарушены все правила и нормы безопасности.) В результате этого уровень радиации резко возрос и превысил предельно допустимую концентрацию в 58 раз, тем самым нанеся чрезмерный вред окружающей флоре и фауне, а так же представляя огромную опасность для жизни и здоровья живущих поблизости людей.
В ходе оперативных розыскных мероприятий было выявлено основное виновное лицо случившегося. Им оказалось совместное русско-японское предприятие по производству ядерного топлива.
Деятельность предприятия приостановили на период повторного перезахоронения отходов, сопровождавшегося жёстким контролем со стороны международной экологической организации Green Peace и представителей областных правоохранительных органов.
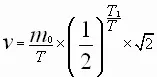
Вам я предлагаю определить отношение скоростей распада соответственно через 150 и 300 лет и сделать выводы, касающиеся экологической обстановки в данном районе, если период полураспада равен 150 лет.
Условие:
T=150 лет
Требование:
=?
=150 лет,
=300 лет

1).
=
=150
2).
=300
Какой вывод можно сделать, получив результат?
Вывод: через каждые 150 лет скорость распада увеличивается в 2 раза. Увеличение скорости ведёт к уменьшению массы вещества, уменьшению сроков отрицательного воздействия отходов на окружающую среду и здоровья людей.
Ущерб, нанесённый экологии и здоровью многих поколений, несравним с тем наказанием, которое понесут виновники "торжества".
Поэтому вы, ребята, возможно и задумаетесь над проблемой создания технологий для хранения отходов. Я думаю, что многие из вас найдут решение этой проблемы, поскольку до настоящего времени в России ещё не найдены средства, методы для утилизации, переработки, а может, и для дальнейшего использования радиоактивных отходов. Это - задача будущего.
Вы не должны забывать про хранение отходов. Выкидывая бумагу, помните, что для её разложения необходимо от двух до десяти лет, а полиэтиленовых пакетов - более двухсот лет. Стекло разлагается через тысячу лет. Необходимо помнить об этом, прежде чем бросить в лесу бутылку или полиэтиленовый пакет.
А сейчас вашему вниманию я предлагаю тест, который состоит из пяти заданий и расшифровывает слова, относящиеся к экологии.
Пример.
С 6 - Глобальное потепление климата [Кризис].
С 11 - По запасу какого природного ресурса Россия занимает 1-ое место в мире [Алмаз].
Учитель раздаёт картинки, а вопросы записывает на доске [на 9-11 вариантов].
Далее учитель подводит итог урока, благодарит гостей и ребят за участие в обсуждении экологических проблем.
Домашнее задание: придумать 2-3 задачи (с использованием цифр) о связи экологии с математикой.