Решение показательных и логарифмических неравенств
14.06.2011
Рассматриваются задачи, совпадающие по типу с показательными и логарифмическими неравенствами, предлагавшимися в ЕГЭ в 2010 году. Проработка рассматриваемых на данном уроке задач дает возможность лучше подготовиться к сдаче ЕГЭ.
Справочный материал
Равносильная замена по знаку показательного неравенства в области определения исходного неравенства:
Равносильные замены по знаку логарифмического неравенства в области определения исходного неравенства:
![]()
![]()
![]()
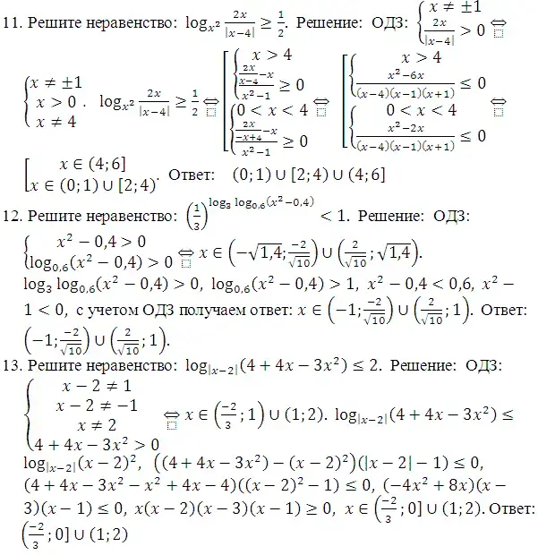
Примеры:






Задачи для самостоятельной работы.



поделиться
aid: 601755