Графики функции. 9-й класс
Цель урока - повторить и систематизировать знания об изученных функциях и их графиках.
Для достижения цели поставлены три задачи:
- обучающая: повторить свойства изученных функций, а также их графики.
- развивающая: развивать математическую речь, логическое мышление, познавательный интерес к предмету, воображение, память;
- воспитательная: воспитывать аккуратность, внимание к слову учителя.
Структура урока
| № |
Этапы урока |
Деятельность уч-ся |
Время |
| 1 | Организационный момент | 1 | |
| 2 | Математический диктант | Письменная | 5-7 |
| 3 | Проверка математического диктанта | Письменная, устная работа | 10 |
| 4 | Решение задач на построение графиков функций | Решение задач
Письмена, устная работа |
15 |
| 5 | Самостоятельная работа. | Сам. работа. | 7-8 |
| 6 | Подведение итогов. Рефлексия. | Обсуждение результатов деятельности на уроке | 3 |
| 7 | Домашнее задание. | Обсуждение | 1 |
Тип урока: обобщения и систематизации знаний.
Оборудование и оформление: проектор, таблица, сигнальные карточки, шаблоны функций у = х?, у = х?
Ход урока
1. Оргмомент.
Объявление темы и цели урока. Запись в тетради даты, темы.
2. Математический диктант.
Диктант проводится с целью выявления пробелов в знаниях учащихся, для того, чтобы в дальнейшем их можно было ликвидировать. Учащиеся получают два чистых листа бумаги и копирку и выполняют работу под копирку в двух экземплярах.
Задания математического диктанта.
- Постойте график функции
1 вар: y=(x-1)?; 2 вар: y= -x?+3.
Как называются графики этих функций?
- Запишите формулу для вычисления координаты х вершины параболы.
- Постройте график функции
1 вар: y= | x |; 2 вар: y= | x -1|.
- Как называется график функции, в каких четвертях расположен график функции
- 1 вар: у =
2 вар: у = -
? Запишите уравнение прямой в общем
виде. - На рисунке изображён график функции у = х2- х -6. Используя график функции, решите неравенство (слайд 2)
1 вар: х2 - х-6 >0 2 вар: х2 - х - 6 <0 .
3. Проверка.
По окончании математического диктанта учащиеся сдают 1 лист с ответами учителю, а другой оставляют у себя для проверки. Проверка проводится с помощью средств обратной связи - сигнальных карточек.
На слайде 3 несколько видов графиков, один ученик называет свой вариант ответа, другие сигнализируют своё согласие или не согласие сигнальными карточками (зелёный цвет - согласны, красный - не согласны с ответом товарища). С помощью этого слайда идёт проверка вопросов № 1,3,4.
Последний вопрос проверяется по слайду 2.
При проверке не просто называются верные ответы, но также идёт обсуждение ошибок. В конце ученики выставляют себе оценки по следующим критериям:
"5" - 6 верных ответов,
"4" - 4,5 верных ответов,
"3" - 3 верных ответа,
"2" - 1,2 верных ответа.
Учитель может перепроверить оценки учеников, т.к. у него есть листы с ответами.
4. Решение задач на построение графиков функций.
А) Построение графиков линейной функции: у=2х+3, у=2х-2, у = - х, у = - х+3.
При построении ученики отвечают на вопросы. Когда графики функций вида у = кх +в параллельны? На что указывает число в в уравнении прямой? По графику определите координаты точек пересечения графиков функций с осью ординат. (Слайд 3)

Б) Построение графиков функций у = х2, у = х2, у = (х+3)2-2,
у = х2-2. Построение графиков производится с использованием шаблонов графиков функций.
При построении графиков функций ученики рассказывают свойства этих функций.
Выполните задания: график какой функции изображён на рисунке? (Слайд 5)

В) Построение графика функции y = ах2 + вх + с
Постройте график функции y =x2-5x+6. Ученики выполняют построение по алгоритму. Один ученик работает у доски.
Выполните задание: квадратичная функция y = ax2 + bx + c задана графиком, изображённым на рисунке. Определите знаки коэффициентов a, b и c. (Слайд 6)

1) a > 0, b < 0, c > 0;
2) a > 0, b > 0, c > 0;
3) a > 0, b < 0, c = 0;
4) a > 0, b = 0, c < 0.
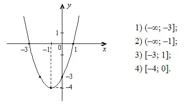
По графику квадратичной функции найдите все значения x, при которых
(Слайд 7)

Г) Построение графиков функций, содержащих знак модуля:
у = | x -1|+2; y=|x2-x-6|
Чтобы построить график функции y=|f(x)|, достаточно построить график функции y=f(x) и ту часть графика, которая расположена в нижней полуплоскости, симметрично отразить относительно оси 0x. (Слайд 8)
5. Самостоятельная работа.
Задания самостоятельной работы дифференцированы по сложности. (Слайд 9)
1 уровень: 1 вар: y=(x+2)2-4, y= х3-2;
2 вар: y=(x-4)2-1, y= (х+5)3.
2 уровень: 1 вар: y = 4x - х2, у =
;
2 вар: y = x2- 6х, у = -
.
3 уровень: 1 вар: y =x2-2x-3, y =|2х-1|;
2 вар: y =-x2-2x-3, y =|0,5х+1|.
6. Подведение итогов.
Оценки за урок.
Рефлексия.
Включаем светофор: если на уроке ученику было всё понятно и не возникли вопросы, то он поднимает сигнальную линейку зелёного цвета, в противном случае - красную.
7. Домашнее задание. (Слайды 10, 11)
1. Повторить свойства функции у =
и построить график у = ![]()
3. Построить график функции вида y=f(x).
y =
x2 - |x| -3
4. Объясните построение графика функции
(На оценку "5")

