Урок-семинар по теме "Системы уравнений"
Цели и задачи урока:
- обобщить и систематизировать знания по данной теме;
- сформировать представления о методах и способах решения нестандартных систем уравнений, превышающих уровень государственных образовательных стандартов;
- привить интерес к изучению материала, выходящего за рамки учебника.
Подготовка к уроку:
На подготовку к семинару отводится 7 дней.
Всем учащимся класса даётся задание:
- повторить правила и способы решения систем уравнений;
- выполнить задание по решению систем уравнений различными способами, заранее оговорив способы решения (подстановки, сложения, способ введения новых переменных);
- учащимся способным к написанию математических стихов даётся задание описать в стихах способы решения систем уравнений;
- готовятся презентации об истории развития систем уравнений; презентации о способах простейших систем уравнений;
- в классе выделяются 4 группы по три человека. Каждая группа получает задание. При подготовке к семинару они прорабатывают соответствующие разделы учебника, а также дополнительную литературу, получают консультацию учителя и определённые задания, отличные от заданий класса. Перед семинаром они предоставляют свои задания на проверку учителю.
- также выделяются ещё две группы: одна оформляет и украшает кабинет математическими газетами и рисунками, а другая сочиняет стихи посвящённые способам решения систем уравнений.
Фронтальная работа с классом:
1. Опрос правил решения систем уравнений различными способами.
2. Доклад и презентация об истории развития систем уравнений.
3. Чтение стихов, посвящённых решению систем уравнений.
4. Устно решить:
уравнения:
а)
= 9;
б)
= 0,25;
в)
= 49;
г)
= 16;
системы уравнений:
а) ![]()
б) ![]()
в) ![]()
В общем виде рассказать способ решения систем уравнений:
а)
б) 
5) Ученики читают стихи, посвящённые различным способам решения систем уравнений.
Способ подстановки:
Самым первым, самым главным
Этот способ назову
Применяет его каждый
Изучить вам помогу.По две буквы в уравненьях
Вам их следует найти
Но для этого смекалку
Мой дружочек примени.Из любого уравненья
Букву вырази одну
И в другое, без сомненья,
Подстановку совершу.Получу я уравненье -
Неизвестное одно,
Я найду его решенье,
То - какое-то число.И число я в уравненье
Вместо буквы запишу
Чтоб найти вторую букву
Вычисленья завершу.Получу ответ: икс, игрек
И система решена
В круглых скобках пара чисел
Запись эта так важна.
Способ сложения:
Запишу два уравненья,
Неизвестных тоже два.
Применю способ сложенья
Им владею я сполна
Я домножу уравненья
На число непросто так
Чтобы выполнить сложенье,
Между ними ставим знак.
В левой части икс и игрек
Аккуратно я сложу
Получу одну лишь букву,
Её корнем назову.
Эту букву я подставлю
В уравненье номер два
И вторую найду букву,
Всё, система решена.
Способ замены неизвестного:
Систему уравнений
Очень легко решить,
Когда способ замены
Удастся применить
Берутся выраженья
По виду близнецы,
Их новой неизвестной
Ты в строчку запиши.
Составь опять систему
Уж проще будет та
Найди две новых буквы
Задача так проста.
Потом вернись к начальным
Ты буквам поскорей
Опять реши систему
Нет способа верней.
Организация урока семинара:
В классе выделяются четыре группы по два человека. Каждая группа получает задание и при подготовке к семинару прорабатывает соответствующие разделы учебника, использует дополнительную литературу, получает консультацию учителя.
В классе выделяются ещё две группы. Одна отвечает за оформление кабинета: рисует, украшает плакатами, посвящёнными решению систем уравнений, высказывания учёных-математиков. Вторая группа сочиняет и разучивает стихи, посвящённые способам решения систем уравнений.
Ход урока
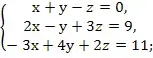
1. Выходит представитель первой группы и рассказывает способ подстановки. После сообщения учащимся класса предлагается решить самостоятельно подобную систему уравнений. Представители первой группы становятся консультантами, они помогают и оценивают знания и умения учащихся. После оценивания решение проверяется с помощью проектора.
Рассматривается решение системы:

первого уравнения находим, что z = 7 - 2х - у.
это выражение для z во второе и третье уравнения системы. Получим
т. е. ![]()
![]()
![]()

![]()
Ответ: х = 1, у = 2, z = 3.
Решить по образцу:

2.
представитель второй группы и рассказывает решение системы способом сложения. Представители его группы становятся
консультантами.
![]()
Умножим второе уравнение на 3 и сложим с первым уравнением
![]()
отсюда ![]()
стему можно решить методом подстановки, но здесь и так видно, что
и ![]()
: (4; 1) и (1; 4).
по образцу:
![]()
3. Выходит представитель третьей группы и рассказывает решение системы способом подстановки. Представители его группы становятся консультантами.
![]()
спользуемся формулой "суммы квадратов", т. е. формулой
; перепишем данную систему иначе:
т. е. ![]()
Введём новые переменные u и v, обозначим
х + у = u,
= v (ху
0).
Система примет вид ![]()
Далее ясно: u = v + 3. Следовательно,
+ 6v +9 - 3
= 13,
![]()
![]()
и ![]()
чальным переменным:
и ![]()
: у = 4 - х, тогда х(4 - х) = 1, т. е.
![]()
= 2 -
и
= 2 +
,
= 2 +
и
= 2 -
,
:
= 4,
= 1;
= 1,
= 4.
: (2 -
, 2 +
), (2 +
, 2 -
), (4; 1), (1; 4).
:
![]()
4. Выходит представитель четвёртой группы. Систему уравнений решается нестандартным способом, проявив определённую смекалку. Такой способ назовём "искусством".

= 3600. Отсюда
хуz = 60 и хуz = - 60. ху = 12, то z = 5 ху = 12, то z = -5, хz = 15, то у = 4 хz = 15, то у = -4, уz = 20, то х = 3. уz = 20, то х = -3. Ответ: (3; 4; 5), (-3; - 4; - 5).
Решить с помощью консультантов и учителя:

сложить уравнения системы).
5. Каждый консультант получает табель, в котором выставляются оценки.
| № | Фамилия, имя учащегося | устный опрос | стихи | Задания | ||||
| № 1 | № 2 | № 3 | № 4 | Итоговая оценка | ||||
| 1. | Богданова В. | |||||||
| 2. | Сериков В. | |||||||
| 3. | Мохов Р. | |||||||
| 4. | Шиманчук С. | |||||||
| т.д. | ||||||||
В конце урока подводится итог, сообщаются оценки, даётся задание на дом.
Решить системы уравнений:

![]()
![]()