Как искать экстремумы функций без производной?
Иногда найти производную функции сложно или даже невозможно (например, если функция задана таблично или кусочно). Но экстремумы (точки максимумов и минимумов) можно найти и без неё! Рассмотрим несколько простых способов.
1. По определению: ищем самую высокую или низкую точку
Экстремум — это точка, где функция достигает наибольшего или наименьшего значения по сравнению с соседними.
Как проверить?
- Если в точке x0 функция больше, чем слева и справа — это локальный максимум.
- Если меньше — локальный минимум.
Пример:
Функция f(x) = |x|.
- В точке x = 0 значение f(0) = 0.
- Слева x = -0.1 : f(-0.1) = 0.1.
- Справа x = 0.1 : f(0.1) = 0.1.
Вывод: x = 0 — точка минимума, хотя производной там нет.
2. Табличный способ (если функция задана числами)
Бывает, что функция известна только в нескольких точках (например, данные эксперимента).
Как найти экстремум?
- Записываем значения функции в каждой точке.
- Сравниваем каждое значение с соседними.
- Если число больше (или меньше) соседей — это экстремум.
Пример:
|
х |
1 |
2 |
3 |
4 |
5 |
|
f(x) |
3 |
7 |
9 |
5 |
2 |
- В точке x = 3 значение 9 больше, чем у соседей (7 и 5) → максимум.
- В точке x = 5 значение 2 меньше, чем у соседа (5) → минимум (если дальше функция не падает ещё сильнее).
3. Используем свойства функции
Некоторые функции имеют очевидные экстремумы:
А) Квадратичная функция f(x) = ax2 + bx + c
Её график — парабола, и вершина находится по формуле: ![]()
- Если a > 0 — это минимум.
- Если a < 0 — максимум.
Пример:
f(x) = x2 - 4x + 3
Вершина: ![]()
Так как a = 1 > 0, то в x = 2 — минимум.
Б) Функция вида ![]()
Корень достигает минимума, когда подкоренное выражение g(x) минимально.
Пример:
f(x) = ![]()
Минимум будет там, где x2 - 6x + 10 минимально.
Находим вершину: ![]()
Значит, минимум f(x) — в точке x = 3.
4. Метод неравенств (для красивых функций)
Иногда минимум или максимум можно найти с помощью известных неравенств.
А) Неравенство Коши (среднее арифметическое ≥ среднего геометрического)

Равенство достигается при a = b.
Пример:
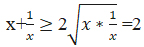
Найти минимум при x > 0.
Применяем неравенство Коши:
![]()
Значит, минимальное значение 2 достигается при x = 1/x, то есть при x = 1.
Б) Использование симметрии
Если функция симметрична, экстремум часто находится в центре.
Пример:
f(x) = (x - 2)2 + 5
Минимум будет при x = 2, потому что квадрат всегда 0.
5. Численные методы (если функция сложная)
Если функция задана сложной формулой или её нельзя анализировать, используют алгоритмы:
А) Метод деления отрезка пополам
- Берём отрезок [a, b], где предполагается экстремум.
- Делим его пополам и сравниваем значения в средней точке и по краям.
- Выбираем ту половину, где экстремум более вероятен.
- Повторяем, пока не найдём точный экстремум.
Б) Метод золотого сечения
Похож на предыдущий, но точки выбираются по особому правилу, чтобы уменьшить число вычислений.
Вывод
Не всегда нужно искать производную, чтобы найти экстремум! Можно:
- Сравнить значения функции в соседних точках.
- Использовать свойства функции (параболы, корни, симметрию).
- Применить неравенства (Коши, модули).
- Воспользоваться численными методами, если функция сложная.
Это полезно в задачах физики, экономики и анализа данных, где производную не всегда можно найти.