Один из подходов к изучению тригонометрии в 10-м классе

Еще в 1905 г. русские читатели могли прочесть в книге Уильяма Джеймса "Психология" его рассуждения о том, "почему зубрение представляет такой дурной способ учения?"
"Знания, приобретенные путем простого зубрения, почти неизбежно забываются совершенно бесследно. Наоборот, умственный материал, набираемый памятью постепенно, день за днем, в связи с различными контекстами, связанный ассоциативно с другими внешними событиями и неоднократно подвергший обсуждению, образует такую систему, вступает в такую связь с остальными сторонами нашего интеллекта, легко возобновляется в памяти массою внешних поводов, что остается надолго прочным приобретением".
С тех пор прошло более 100 лет, а слова эти поразительно остаются злободневными. В этом каждодневно убеждаешься, занимаясь со школьниками. Массовые пробелы в знаниях настолько велики, что можно утверждать: школьный курс математики в дидактическом и психологическом отношениях - не система, а некое устройство, поощряющее кратковременную память и нисколько не заботиться о памяти долговременной.
Знать школьный курс математики - значит владеть материалом каждого из направлений математики, быть в состоянии актуализировать любое из них в любое время. Чтобы достичь этого, нужно систематически обращаться каждому из них, что порой не всегда возможно из-за сильной загруженности на уроке.
Есть другой путь долговременного запоминания фактов и формул - это опорные сигналы.
Тригонометрия - один из больших разделов школьной математики, изучаемой в курсе геометрии 8, 9 классов и в курсе алгебры 9 класса, алгебры и начал анализа в 10 классе.
Самый большой объем изучаемого материала по тригонометрии приходится на долю 10 класса. Большую часть этого материала из тригонометрии можно изучить и запомнить на тригонометрическом круге (окружность единичного радиуса с центром в начале прямоугольной системы координат). Приложение1.ppt

Это следующие понятия тригонометрии:
- определения синуса, косинуса, тангенса и котангенса угла;
- радианное измерение углов;
- область определения и область значений тригонометрических функций
- значения тригонометрических функций для некоторых значений числового и углового аргумента;
- периодичность тригонометрических функций;
- четность и нечетность тригонометрических функций;
- возрастание и убывание тригонометрических функций;
- формулы приведения;
- значения обратных тригонометрических функций;
- решение простейших тригонометрических уравнений;
- решение простейших неравенств;
- основные формулы тригонометрии.
Рассмотрим изучение этих понятий на тригонометрическом круге.
1) Определение синуса, косинуса, тангенса и котангенса.
После введения понятия тригонометрического круга (окружность единичного радиуса с центром в начале координат), начального радиуса (радиус окружности по направлению оси Ох), угла поворота, учащиеся самостоятельно получают определения для синуса, косинуса, тангенса и котангенса на тригонометрическом круге, используя определения из курса геометрии, то есть, рассматривая прямоугольный треугольник с гипотенузой, равной 1.
Косинусом угла
называется абсцисса точки на окружности при повороте начального радиуса на данный угол.
Синусом угла
называется ордината точки на окружности при повороте начального радиуса на данный угол.
![]()

2) Радианное измерение углов на тригонометрическом круге.
После введения радианной меры угла (1 радиан - это центральный угол, которому соответствует длина дуги, равная длине радиуса окружности), учащиеся делают вывод, что радианное измерение угла - это
числовое значение угла поворота на окружности, равное длине соответствующей дуги при повороте начального радиуса на заданный угол.
.
![]()
Тригонометрический круг разделен на 12 равных частей диаметрами окружности. Зная, что угол
радианам, можно определить радианное измерение для углов
кратных
.
![]()
и т.д.
А радианные измерения углов, кратных
, получаются аналогично:
![]()

3) Область определения и область значений тригонометрических функций.
Будет ли соответствие углов поворота и значений координат точки на окружности функцией?
Каждому углу поворота соответствует единственная точка на окружности, значит данное соответствие - функция.
Получаем функции ![]()
На тригонометрическом круге видно, что область определения функций - множество всех действительных чисел, а область значений -
.
Введем понятия линий тангенсов и котангенсов на тригонометрическом круге.
1) Пусть
Введем вспомогательную прямую, параллельную оси Оу, на которой определяются тангенсы для любого числового аргумента.
2) Аналогично получаем линию котангенсов. Пусть у=1, тогда
. Значит, значения котангенса определяются на прямой, параллельной оси
Ох.

На тригонометрическом круге без труда можно определить область определения и область значений тригонометрических функций:
для тангенса - ![]()
для котангенса - ![]()
4) Значения тригонометрических функций на тригонометрическом круге.
Катет , противолежащий углу в
равен половине гипотенузы, то есть
Другой катет по теореме Пифагора: ![]()
Значит по определению синуса, косинуса, тангенса, котангенса можно определить значения для углов кратных
или
радианам. Значения синуса определяются по оси Оу, косинуса по оси Ох, а значения тангенса и котангенса можно определить по дополнительным
осям, параллельным осям Оу и Ох соответственно.
Табличные значения синуса и косинуса расположены на соответствующих осях следующим образом: ![]()
Табличные значения тангенса и котангенса - ![]()

5) Периодичность тригонометрических функций.
На тригонометрическом круге видно, что значения синуса, косинуса повторяются через каждые
радиана, а тангенса и котангенса - через
радиан.
![]()
6)Четность и нечетность тригонометрических функций.
Это свойство можно получить, сравнивая значения положительных и им противоположных углов поворота тригонометрических функций. Получаем, что
![]()
Значит, косинус - четная функция, все остальные функции - нечетные.
![]() |
![]() |
7) Возрастание и убывание тригонометрических функций.
По тригонометрическому кругу видно, что функция синус возрастает
и убывает ![]()
Аналогично рассуждая, получаем промежутки возрастания и убывания функций косинуса, тангенса и котангенса.
8) Формулы приведения.
За угол
берем меньшее значение угла на тригонометрическом круге. Все формулы получаются в сравнении значений тригонометрических функций на катетах
выделенных прямоугольных треугольников.
Алгоритм применения формул приведения:
1) Определить знак функции при повороте на заданный угол.
При повороте на угол
функция сохраняется, при повороте на угол
- целое, нечетное число, получается кофункция (![]()

9) Значения обратных тригонометрических функций.
Введем обратные функции для тригонометрических функций, пользуясь определением функции.
Каждому значению синуса, косинуса, тангенса и котангенса на тригонометрическом круге соответствует только одно значение угла поворота. Значит, для функции
область определения
, область значений -
Для функции
область определения -
, область значений -
. Аналогично получаем область определения и область значений обратных функций для косинуса и котангенса.
Алгоритм нахождения значений обратных тригонометрических функций:
1) нахождение на соответствующей оси значения аргумента обратной тригонометрической функции;
2) нахождение угла поворота начального радиуса с учетом области значений обратной тригонометрической функции.
Например: 
10) Решение простейших уравнений на тригонометрическом круге.
Чтобы решить уравнение вида
, найдем точки на окружности, ординаты которых равны
и запишем соответствующие углы с учетом периода функции.
Для уравнения
, найдем точки на окружности, абсциссы которых равны
и запишем соответствующие углы с учетом периода функции.
Аналогично для уравнений вида
Значения
определяются на линиях тангенсов и
котангенсов и записываются соответствующие углы поворота.
![]() |
|
![]() |
![]() |
11) Решение неравенств.
Чтобы решить неравенства вида
, необходимо найти точки на окружности с ординатой
и прочитать соответствующее неравенство против часовой стрелки с учетом периода функции.
Чтобы решить неравенства вида
, необходимо найти точки на окружности с абсциссой
и прочитать соответствующее неравенство против часовой стрелки с учетом периода функции.
Чтобы решить неравенства вида
, необходимо найти точку на линии тангенсов с координатой
и прочитать соответствующее неравенство против часовой стрелки с учетом области определения и периода функции.
Аналогично для неравенств с котангенсом.
Необходимо практиковать чтение промежутков на тригонометрическом круге, тогда решения неравенств определяются безошибочно.

12) Основные формулы тригонометрии.
1) Основные тригонометрические тождества.
Очевидны выводы формул
которые получаются в прямоугольном треугольнике на тригонометрическом круге.
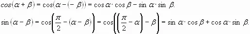
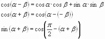
2) Формулы сложения выводятся с использованием скалярного произведения векторов начального и "конечного" радиусов. 
![]() |
![]() |
Другие формулы сложения получаются с использованием предыдущей, формул приведения и свойств четности и нечетности тригонометрических функций.

Почти все формулы тригонометрии являются следствиями этих основных формул.
Все понятия и формулы тригонометрии получают сами ученики под четким руководством учителя с помощью тригонометрического круга. В дальнейшем этот "круг" будет служить для них опорным сигналом или внешним фактором для воспроизведения в памяти понятий и формул тригонометрии.
Выводы:
Изучение тригонометрии на тригонометрическом круге способствует:
- выбору оптимального для данного урока стиль общения, организации учебного сотрудничества;
- целевые ориентиры урока становятся личностно значимыми для каждого ученика;
- новой материал опирается на личный опыт действия, мышления, ощущения учащегося;
- урок включает в себя различные формы работы и способы получения и усвоения знаний; присутствуют элементы взаимо- и самообучения; само- и взаимоконтроля;
- имеет место быстрое реагирование на непонимание и ошибку (совместное обсуждение, опоры-подсказки, взаимоконсультации).






